Tom Lippincott, an associate research professor of computer science at the Johns Hopkins University, has been selected to receive a 2025 Humanities and AI Virtual Institute award from Schmidt Sciences. The program supports 23 teams worldwide who are developing new ways to connect AI with humanistic research.
Lippincott’s research focuses on how machine learning can support and facilitate traditional scholarship in the humanities, with an emphasis on interpretable, unsupervised models of cultural production and interpretation. The director of the Center for Digital Humanities, he also serves as a research scientist in the Human Language Technology Center of Excellence, an affiliate of the Center for Language and Speech Processing, and a member of the Data Science and AI Institute, and holds a secondary appointment in the Alexander Grass Humanities Institute.

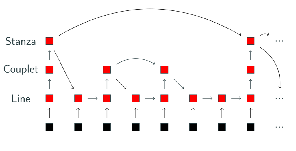
An illustration of how a simple gated model might reflect natural divisions of poetic form.
As part of his Schmidt Sciences award, Lippincott and his collaborators at Johns Hopkins, Princeton University, and Durham University will develop an AI toolkit to help scholars analyze hierarchical patterns in language and music—such as words forming phrases or musical notes shaping melodies—which are central to how humans create and understand meaning.
By combining advances in AI with methods tailored for interpretability, this project aims to make it easier for humanities scholars to discover and visualize patterns in their data, trace meaning over time, and bridge computational modeling with humanistic inquiry.